Requisiti
Matrice simmetrica definita positiva. La fattorizzazione è quindi semplificata perché non serve pivoting (vedi Stabilità) e si può lavorare solo sul triangolo inferiore.
Il metodo di Cholesky è una variante del Metodo di Gauss, caso particolare di , variante della fattorizzazione , o Fattorizzazione matrici simmetriche.
Stabilità
Metodo efficiente e stabile numericamente e quando applicato a matrici simmetriche positive.
Una matrice simmetrica è definita positiva se e solo se esiste una matrice triangolare inferiore con elementi diagonali positivi tale che .
Dopo opportuni calcoli, si può ottenere la tesi ponendo , con matrice diagonale con elementi .
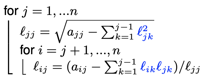
Algoritmo di fattorizzazione
Si indicano con gli elementi di . Dal momento che , si ha:
Seguendo le regole di pavimentazione della Fattorizzazione matrici simmetriche , si ottiene l’algoritmo di Cholesky sostituendo le relazioni precedenti con

Stabilità
Si può dimostrare che se A è definita positiva, allora i pivot soddisfano automaticamente la condizione di pivoting parziale.
La stabilità, rispetto al Metodo di Gauss, è più forte, perché gli elementi vengono maggiorati da costanti che non dipendono dalla dimensione della matrice.
Algoritmo di default in Matlab utilizzando l’operatore "" per le matrici simmetriche.